

產品名稱:甲基八溴醚
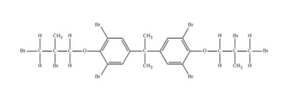
化學名稱:四溴雙酚A雙(2,3-二溴-2-甲基丙基)醚
CAS NO.:97416-84-7
產品用途:這個產品是四溴雙酚A深加工的主要產品,阻燃效果會比較好。屬于添加型阻燃劑,用于EPS、XPS板材,阻燃聚烯烴類(如PP、PE、聚丁烯等)和熱塑性高彈性體材料,聚丙烯塑料和纖維, 聚苯乙烯泡沫塑料的阻燃, 也可用于滌綸織物阻燃后整理和維綸涂塑雙面革的阻燃。同時適用于聚苯乙烯、不飽和聚酯、聚碳酸酯、聚丙烯、合成橡膠等,是目前阻燃劑六溴環十二烷的優良替代品。
產品性能:甲基八溴醚屬于添加型阻燃劑它具有用量低,阻燃效果好、對材料物理性能影響小等特點。主要用于EPS,聚丙烯和其它苯乙烯樹脂中,能表現出它好的性能。本品外觀為白色結晶粉末,可溶于丙酮、酯等有機溶劑,對熱和紫外光的穩定性好。該產品的阻燃作用高于溴系芳香族阻燃劑,熱穩定性能好,能使加工設備安全、制品性能優良,對較高溫度加工的塑料制品適宜。
主要指標:
外觀:白色或者類白色粉末
溴含量≥65%
熔點≥110℃
揮發份≤0.3%
5%熱失重≥280℃
甲基八溴醚的化學式:


